<span class="mw-page-title-main">Basche92a</span>
Elena & Fabrice's Web

Photon antibunching in the fluorescence of a single dye molecule trapped in a solid. T. Basché, W. E. Moerner, M. Orrit and H. Talon in Phys. Rev. Lett. 69:1516 (1992).  What the paper says!?

This reports the first antibunching of a single molecule (namely, a single pentacene molecule in a p-terphenyl crystal). The solid "traps" the molecule and furthermore quenches other degrees of freedom (like rotation).

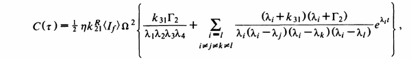
The 3LS is modeled from de Vries and Wiersma (their Ref. [16]) and the driving is coherent so they solve Optical-Bloch equation. They also refer to Eq. (16) but apparently in error as this is not discussed there. They find the solution for $g^{(2)}$ "as a sum of complex exponentials":

with parameters

which gives them Rabi oscillations on top of the typical curve with antibunching followed by bunching elbows:

and a good fit of the data:

Their description of the molecule:

They also looked at the antibunching of two molecules: