Photophysics of single nitrogen-vacancy centers in diamond nanocrystals. M. Berthel, O. Mollet, G. Dantelle, T. Gacoin, S. Huant and A. Drezet in Phys. Rev. B 91:035308 (2015). What the paper says!?
Well written paper and extensive although highly specific:
The aim of this paper is to give a detailed description of the intrinsic photophysics of single NV centers of both charge states in surface-purified nanodiamonds (NDs) of size around 50 nm, or below, as a function of the illumination power from a cw laser.
There you learn about the intimate behaviour of such objects. For instance that neutral NV centers tend to behave like charged ones at high powers, that some don't change and others do at low powers, etc. Seems a great deal of fun to investigate all the possibilities.
The model of rate equations involves different coupling between states than those assumed in other papers:
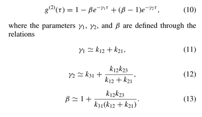
They still find the same type of $g^{(2)}(\tau)$ [linear at small time delays]:
They also study cross-correlations in their investigations of photochromism, adapting the method of conditioned probabilities to cross-correlations, and report asymmetric $g^{(2)}$:
Their Ref. [36] goes into further details of this aspect.
Some weird references (e.g., Milloni's The Quantum Vacuum for $g^{(2)}$ related to conditional probabilities.
I learned the terminology of Jablonski diagram from this paper.