<span class="mw-page-title-main">Dekel00a</span>
Elena & Fabrice's Web

Cascade evolution and radiative recombination of quantum dot multiexcitons studied by time-resolved spectroscopy. E. Dekel, D. V. Regelman, D. Gershoni, E. Ehrenfreund, W. V. Schoenfeld and P. M. Petroff in Phys. Rev. B 62:11038 (2000).  What the paper says!?

This is a precursor work of Regelman et al.'s Ref. [1] as well as a followup of Ref. [2], studying correlations between multi-excitons in a quantum dot. The theoretical model is extended and, experimentally, this considers more optically efficient QDs. No autocorrelation are measured (or simulated) but spectra and other observables are well reproduced by their rate equations:

The model is coupled rate equations:

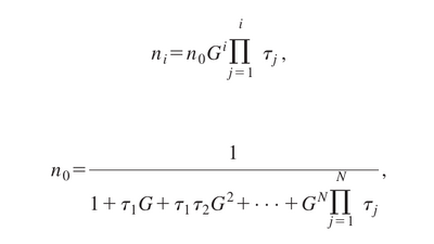
$G(t)$ is the pumping (can be time-dependent) which, if steady, gives steady-state solutions:

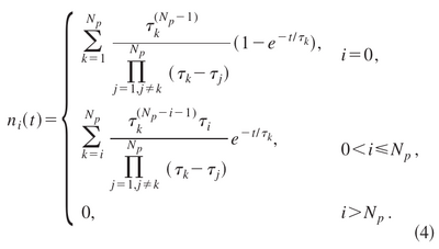
They also computed pulsed-excitation solutions, in which case there is no climbing-up again the ladder. They find in this case:


References