<span class="mw-page-title-main">Gerhardt07a</span>
Elena & Fabrice's Web

Strong Extinction of a Laser Beam by a Single Molecule. I. Gerhardt, G. Wrigge, P. Bushev, G. Zumofen, M. Agio, R. Pfab and V. Sandoghdar in Phys. Rev. Lett. 98:033601 (2007).  What the paper says!?

The Authors use near-field optical spectroscopy to detect a single molecule in transmission (visibility up to 10%). They detect the signal admixing the coherent emission from the molecule and part of the driving signal, allowing them to characterize the coherent emission (previously, Stokes shifted fluorescence was measured instead). ««The sample could be scanned in 3 dimensions»» thanks to their fiber-optics tip.

The technique is not new[1][2] but is said to be here "extended" to transmission: (how truly novel is that?)

A few recent works have used the interference between the coherent radiation of a single emitter and a part of the excitation beam in reflection to get around this issue [6,7] Here we extend the latter idea to direct transmission measurements.

The interference is known as the 'extinction term' ([12] is Jackson):

Interestingly, the extinction term dominates weak field emissions.

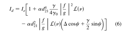
A quantum treatment is made of the (one-photon fields) interferences (their Eqs. (1) [for the laser] and (2) [for the molecule, besides, treated as a 3LS]). This lead them to their main theoretical result:

where $\psi$ is the phase difference between the driving laser and molecular emission. Their analysis (in this paper) is mainly on the polarization, as opposed to the relative phase.

They successfully redistribute light:

References