<span class="mw-page-title-main">Meuret15a</span>
Elena & Fabrice's Web

Photon Bunching in Cathodoluminescence. S. Meuret, L. Ti, N. T. Cazima, N. R. Bourrell, N. H. C., A. F. Treu and A. M. Kociak in Phys. Rev. Lett. 114:197401 (2015).  What the paper says!?

This studies the bunching and superbunching from cathodoluminescence (luminescence following irradiation by electron beam [from a cathode]).

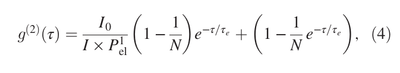
They derive an equation (in the Supplementary, which I haven't checked in detail) that links the number of emitters $N$ to $g^{(2)}$:

This is done in a way that we would in principle regard as naive, as several emitters, even if correlated in their excitation (as is the case here, through plasmons) do not result in Fock states emission. They do come with a Monte Carlo analysis that may shed light on its validity.

At any rate, an important paper for the problem of superbunching, with a nice overview of other types, which they say are all of a different nature as the one they report: