<span class="mw-page-title-main">Rarity05a</span>
Elena & Fabrice's Web

Non-classical interference between independent sources. J. G. Rarity, P. R. Tapster and R. Loudon in J. Opt. B 7: (2005).  What the paper says!?

This is the first experiment of nonclassical interference from independent sources, namely, a single photon from a heralded SPDC and a weak coherent state.

The paper is well-written and gives a full account of both the theory and the experiment.

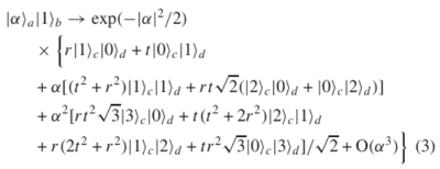
They give the output at the beam splitter of a coherent state and one photon at the input (their Eq. (3)) up to second-order in $\alpha$:

From this, one sees that for the balanced BS, $|r|^2=|t|^2$ with $r^2+t^2=0$d, the coincidence $\ket{1}_c\ket{1}_d$ vanishes at the two-photon level. There are coincidences involving more than one photon on each detector, which could either be resolved as such with adequate technology or, as done in this paper, ignored as being less likely in the limit of weak coherent states (they are weighted by $\alpha^2$ and still higher orders).

They model imperfect detectors with BS, one input being fed by noise (their Ref. 18).

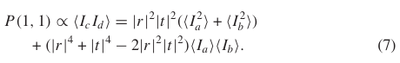
They compute the coincidence $P_\mathrm{tot}(1,1)$ by weighting the wavefunction over imperfect-detector probabilities and compute the visibility (also neglecting more than one-photon detection for uncorrelated signal, which they don't mention and probably does not affect the result, although the exact probabilities are easier to compute than their approximation):

They also compute the probability of "accidental" coincidence from independent coherent states:

from which they get the visibility as:

which is at most 50% for $I_a=I_b$. This is shown in their Figure 2:

which I suppose is meant to show that the detector efficiency does not matter as the quality of the approximation (of neglecting more than one count) as $|\alpha|^2>1$ is unclear.

They then further model the mode overlap to be able to describe the loss of the HOM dip. They report this beautiful experimental result, where for the acse of admixing two lasers, they simply do not herald the single photon:

This experiment can be seen as heterodyning and they refer to a more complex experiment that supposedly tests Bell nonlocality with one photon only.[1] (this was criticized in a comment).

Although published in 2005, the Authors say that their experiment was performed in 1996 and written up as an e-print in 1997 but never published! The impact of either their actual experiment or the underlying principle had on subsequent breakthroughs of the field is given in a sorrowful list: ««It [their experiment] paved the way for key multiphoton experiments demonstrating quantum teleportation [8], demonstration of three-particle violations of non-locality [10] (so-called GHZ states [9]) and entanglement swapping [11].»»

See also Ref. [2] for something similar.

References