<span class="mw-page-title-main">Smerzi97a</span>
Elena & Fabrice's Web

Quantum Coherent Atomic Tunneling between Two Trapped Bose-Einstein Condensates. A. Smerzi, S. Fantoni, S. Giovanazzi and S. Shenoy in Phys. Rev. Lett. 79:4950 (1997).  What the paper says!?

This paper is the one that establishes the main phenomenology of Bosonic Josephson Junctions for two spatially-separated condensates in a trap, in particular discovering self-trapping.

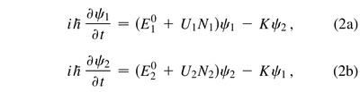
Their equations:

In their BJJ form:

Relation to an oscillator:

There is an interesting comment on the Shapiro effect (top-left of page 3), that would be usefully adopted to PJJ.

The link between the two schemes, through their ac Josephson and Josephson plasma frequencies:

Bottom of page 3, showing (left) the anharmonic oscillations of poppulations with increasing nonlinearities, and ultimately self-trapping and (right) the trajectories on the $z/phi$ space: