<span class="mw-page-title-main">Carusotto04a</span>
Elena & Fabrice's Web
«the polaritonic fluid behaves as a superfluid in the sense of Landau criterion.»

Probing Microcavity Polariton Superfluidity through Resonant Rayleigh Scattering. I. Carusotto and C. Ciuti in Phys. Rev. Lett. 93:166401 (2004).  What the paper says!?

The Authors describe polariton superfluidity as a collapse of the Rayleigh scattering of the fluid off a point defect, and link this behaviour to the dispersion of the elementary excitations.

Here, we study the propagation of a polariton fluid in the presence of static defects, which are known to produce

resonant Rayleigh scattering (RRS)

The main result:

Superfluidity of the polariton fluid mani- fests itself as a quenching of the RRS intensity when the flow velocity imprinted by the exciting laser is slower

than the sound velocity in the polariton fluid.

They claim that «collective excitation spectra having no analog in equilibrium systems» which they relate to the release of the chemical potential constrain on the particle number:

As our system is a strongly nonequilibrium one, the polariton field oscillation frequency is not fixed by an equation of state relating the chemical potential to the particle density, but it can be tuned by the frequency of

the exciting laser.

They excite «close to the bottom of the LP dispersion» well into the parabolic region with a resonant (plane wave) pump $F_p$, generating a propagating plane wave of momentum $k_p$. They work in mean-field (Gross-Pitaevskii equation):

They find the steady-state response of the driven system:

and they study the stability of Eqs. (4) by linearizing Eq. (3). This gives them, for their $k_p$ and with $\omega_p>\omega_\mathrm{LP}(k_p)$, the bistable S curve (their Fig. 1b). Position on this curve is important for the phenomenon. Superfluidity is observed at point A.

Then they derive the spectrum of elementary excitation:

The dispersion of the elementary excitations of the system is the starting point for a study of its response

to an external perturbation.

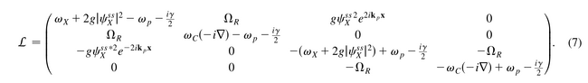
The linearization procedure, which is not well detailed, introduces a $4\times4$ matrix:

Eigenvectors of this give rise to four dispersions, two for the lower, two for the upper. I think they could have detailed this a bit more (where this doubling come from, at a fundamental level?) They focus on the lower branch, and in the parabolic region. Importantly, however, they derive everything from the exciton-photon structure. It is unclear how much this plays a role in their results.

They introduced (hidden inline) an important Mean Field shift of the polariton field: $$\delta\omega_\mathrm{MF}=g_\mathrm{LP}|\psi_\mathrm{LP}^{ss}|^2\,.$$ This brings them to the spectrum of bogolons:

which they plot in their Fig. 2 (left column):

In absence of interactions (case a), they still have a spectrum of excitations, which remains, however parabolic. This should be understood, I guess, as recovering somehow the original (not perturbative) dispersion. This remains unclear in the text, especially as there is still the negative branch.

With interactions, the branch linearizes [Figs. 2(c) and 2(e)], and the linear one the group velocity $c_s\pm v_p$, which introduces the sound velocity of the interacting gas: $$c_s=\sqrt{\hbar\delta\omega_\mathrm{MF}\over m_\mathrm{LP}}$$

To understand all this, the other parametric papers from Ciuti et al. should be studied, e.g., his Refs. [14,20], etc.

Typos:

The nonlinear interaction term is due exciton-exciton

collisional interactions