<span class="mw-page-title-main">Davanco14a</span>
Fabrice P. Laussy's Web

Multiple time scale blinking in InAs quantum dot single-photon sources. M. Davanço, C. S. Hellberg, S. Ates, A. Badolato and K. Srinivasan in Phys. Rev. B 89:161303 (2014).  What the paper says!?

This interesting paper studies blinking in InAs/GaAs QDs (family of dots where blinking—that is otherwise ubiquitous—was not much studied). They use photon correlations to characterize it over time scales ranging from tens of nanoseconds to hundreds of milliseconds, with beautiful agreement to multilevel rate-equations. These, in addition to many "shelving" states (dark states), also has some structure for the emitter.

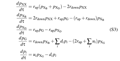
The details are, however, in the supplementary material. There one finds the rate equations, but not their solutions:

So although there is some structure that goes beyond the usual shelving models, it is difficult to know if that relates to photon liquefaction (flattening of small times).

An important technicality is that to compute $g^{(2)}(\tau)$ from rate equations, the emission, if it comes from the XX🡒XB transition (as is the case for some of their systems, which they call "devices"), has to be identified not only by the condition $p_{X_B}(0)=1$, but also that the system is in this state coming from XX, not, say, from G🡒XB. A clever trick from the Authors is to split this state in two, B1 and B2, with one only being excited from the sought XX🡒XB channel, so being the one used to obtain $g^{(2)}(\tau)$:

They also find interesting connections between the number of shoulders and number of dark states:

and

and .