<span class="mw-page-title-main">Pegg86a</span>
Elena & Fabrice's Web

Correlations in light emitted by three-level atoms. D. T. Pegg, R. Loudon and P. L. Knight in Phys. Rev. A 33:4085 (1986).

This studies both coherent and incoherent driving of a three-level system:

No mention is made of EIT (but "coherent rapping" is mentioned 4 lines before the acknowledgments).

The incoherent case is tackled with simple rate equations:

This problem interests us for our mechanism for a perfect single photon source, although in our case the cascade is closer to what is meant by cascade, with the excitation falling down successive levels. Here, instead, the rates are removing the excitation from the state 0 towards the states 1 and 2. The rates are further constrained by Einstein's coefficients:

This makes decay always stronger than pumping, due to stimulated emission.

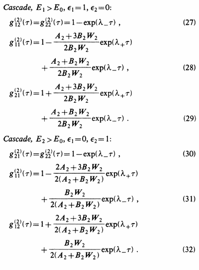
Solving the rate equations, which is easy, and equating $g^{(2)}$ to the populations based on the conditional configuration that corresponds to a first emission, they can solve for two-photon correlations. They refer to some "uncoupled-state representation" which is unclear what it exactly is (possibly to assume $g^{(2)}(\tau)$ as given by $n(\tau)$ from a given initial condition). For the cascades, for instance, they find:

This is obtained in some approximation where one driving is much stronger than the other, which distinguishes the two cascades (the full solutions are also given but are much bulkier). The two cascades thus differ in the weights of the relaxations.

Here, interestingly, one sees that the return to no-correlations is monotonous, i.e., has no oscillations. This is a sharp contrast to our case. Also, there is no flattening $\tau^2$ of small-time correlations, that remain linear. The main qualitative feature, the bunching elbow, is still apparent (cf. $g_{11}$) but, therefore, with no clear or strong connection with our time ordering:

In comparison, the V and Λ configurations feature more pronounced elbows, but also no "liquefaction" features:

It is noted that the effect of the additional transition is to weaken antibunching, also as opposed to our case:

There is also a thorough treatment of the coherent driving, which is probably relevant for EIT but that is not our main concern for now.

Historically, this cites Ref. [1] as what seems the first case of single-ion resonance fluorescence.