<span class="mw-page-title-main">Kurtsiefer00a</span>
Elena & Fabrice's Web

Stable Solid-State Source of Single Photons. C. Kurtsiefer, S. Mayer, P. Zarda and H. Weinfurter in Phys. Rev. Lett. 85:290 (2000). What the paper says!?

This paper first reports single nitrogen-vacancy (NV) centers in diamond as a single-photon source, combining ««the robustness of single atoms with the simplicity of experiments with dye molecules»».

The main result:

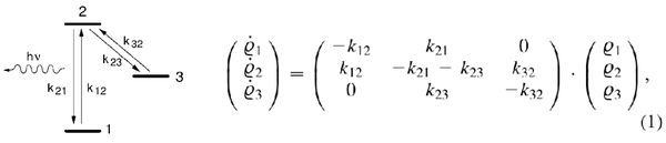
Besides the good antibunching (0.26 at best), with emission rates of the order of thousand counts per second, they highlight the $g^{(2)}$ being larger than one and attribute it to a metastable "shelving state". Shelving refers to the switching-off of the emission of a state due to another, long-lived excited state.[1] They describe this with a rate-equation model for a three-level system:

and find a bi-exponential decay for $g^{(2)}(\tau)$ which will become popular in the literature to describe such elbows:

The theory was developed in quite some details and covering more cases by [2] but this appears to have been overlooked by the Authors. They furthermore conduct an analysis of deviations from this due to background emission (Eq. (5)).

They acknowledge the "uncomplicated help" from someone.

Take home

  1. NV are SPS.
  2. Bunching elbows explained by shelving with an analytical (bi-exponential) model.

References